|
BỘ Y TẾ Số: 4395/QĐ-BYT |
CỘNG HÒA XÃ HỘI CHỦ NGHĨA VIỆT NAM Hà Nội, ngày 04 tháng 12 năm 2023 |
QUYẾT ĐỊNH
Ban hành Tiêu chí và quy trình kiểm định an toàn và tính năng kỹ thuật
Lồng ấp trẻ sơ sinh
_____________
BỘ TRƯỞNG BỘ Y TẾ
Căn cứ Nghị định số 95/2022/NĐ-CP ngày 15 tháng 11 năm 2022 của Chính phủ quy định chức năng, nhiệm vụ, quyền hạn và cơ cấu tổ chức Bộ Y tế;
Căn cứ Nghị định số 98/2021/NĐ-CP ngày 08 tháng 11 năm 2021 của Chính phủ về quản lý trang thiết bị y tế và Nghị định số 07/2023/NĐ-CP ngày 03 tháng 3 năm 2023 của Chính phủ về sửa đổi, bổ sung một số điều của nghị định số 98/2021/NĐ-CP ngày 08 tháng 11 năm 2021 của chính phủ về quản lý trang thiết bị y tế;
Căn cứ Thông tư 05/2022/TT-BYT ngày 01 tháng 08 năm 2022 của Bộ trưởng Bộ Y tế quy định chi tiết thi hành một số điều của nghị định số 98/2021/NĐ-CP ngày 08 tháng 11 năm 2021 của Chính phủ về quản lý trang thiết bị y tế;
Theo đề nghị của Cục trưởng Cục Cơ sở hạ tầng và Thiết bị y tế tại phiếu trình số 271/HTTB-CLSD ngày 16/11/2023.
QUYẾT ĐỊNH:
|
Nơi nhận: |
KT. BỘ TRƯỞNG |
TIÊU CHÍ VÀ QUY TRÌNH KIỂM ĐỊNH AN TOÀN VÀ TÍNH NĂNG KỸ
THUẬT LỒNG ẤP TRẺ SƠ SINH
(Ban hành kèm theo Quyết định số 4395/QĐ-BYT ngày 04/12/2023 của Bộ y tế)
1. PHẠM VI ÁP DỤNG
Văn bản này quy định quy trình kiểm định an toàn và tính năng kỹ thuật lồng ấp trẻ sơ sinh dùng trong điều trị người bệnh. Áp dụng cho kiểm định ban đầu (với thiết bị mới lần đầu lắp đặt đưa vào sử dụng); kiểm định định kỳ (chu kỳ kiểm định là 12 tháng); kiểm định sau sửa chữa lớn (là kiểm định sau khi lồng ấp trẻ sơ sinh được sửa chữa: Bộ nguồn, bộ xử lý, bộ điều khiển nhiệt độ).
2. THUẬT NGỮ VÀ ĐỊNH NGHĨA
2.1. Lồng ấp trẻ sơ sinh (Infant Incubator): Thiết bị y tế có khoang để đặt trẻ và được trang bị các bộ phận kiểm soát môi trường về nhiệt độ, thông khí, độ ẩm tạo ra cho trẻ sơ sinh.
2.2. Cảm biến nhiệt độ da (Skin temperature sensor): Một phần tử nhạy cảm dùng để đo nhiệt độ trên da của trẻ.
2.3. Nhiệt độ da (Skin temperature): Nhiệt độ của da trẻ sơ sinh tại điểm đặt cảm biến nhiệt độ da.
2.4. Nhiệt độ trung bình của lồng ấp (Average incubator temperature): Giá trị trung bình của nhiệt độ lồng ấp trẻ sơ sinh đo được tại các khoảng đều đặn đạt được trong trạng thái nhiệt độ ổn định.
2.5. Trạng thái nhiệt độ ổn định (Steady temperature condition): Trạng thái đạt tới khi sự thay đổi nhiệt độ lồng ấp trẻ sơ sinh không lớn hơn 1 °C so với nhiệt độ cài đặt trong khoảng thời gian 1 giờ.
2.6. Khoang trẻ sơ sinh (Baby Compartment): Phần không gian có kiểm soát kín điều kiện môi trường để đặt trẻ sơ sinh, có phần trong suốt cho phép quan sát trẻ.
2.7. Lồng ấp trẻ sơ sinh có kiểm soát bằng nhiệt độ da của trẻ (Baby Controlled Incubator): Lồng ấp trẻ sơ sinh có kiểm soát không khí có khả năng phụ trợ kiểm soát tự động nhiệt độ không khí trong lồng để duy trì nhiệt độ đo được bằng bộ cảm biến nhiệt độ trên da gần với giá trị do người sử dụng cài đặt.
2.8. Nhiệt độ lồng ấp (Incubator temperature): nhiệt độ không khí ở điểm cách tâm của bề mặt đệm 10 cm về phía trên trong khoang trẻ sơ sinh.
2.9. Nhiệt độ khống chế (Control temperature): nhiệt độ được chọn ở bộ khống chế nhiệt độ.
2.10. Ký hiệu %V: Phần trăm thể tích.
3. NỘI DUNG KIỂM ĐỊNH AN TOÀN VÀ TÍNH NĂNG KỸ THUẬT
Bảng 1. Nội dung kiểm định
|
TT |
Nội dung kiểm định |
Theo điều mục của quy trình |
Chế độ kiểm định |
||
|
Ban đầu |
Định kỳ |
Sau sửa chữa lớn |
|||
|
1 |
Kiểm tra chung |
5.1 |
|
|
|
|
1.1 |
Kiểm tra hồ sơ |
5.1.1 |
X |
X |
X |
|
1.2 |
Kiểm tra bên ngoài |
5.1.2 |
X |
X |
X |
|
2 |
Kiểm định an toàn |
5.2 |
|
|
|
|
2.1 |
Kiểm định an toàn điện |
5.2.1 |
X |
X |
X |
|
2.2 |
Kiểm định cường độ âm thanh và chức năng cảnh báo |
5.2.2 |
X |
X |
X |
|
3 |
Kiểm định tính năng kỹ thuật |
5.3 |
|
|
|
|
3.1 |
Kiểm định độ đồng đều nhiệt độ của lồng ấp |
5.3.1 |
X |
X |
X |
|
3.2 |
Kiểm định độ chính xác của cảm biến nhiệt độ da |
5.3.2 |
X |
X |
X |
|
3.3 |
Kiểm định tốc độ không khí tối đa ở trong lồng ấp |
5.3.3 |
X |
X |
X |
|
3.4 |
Kiểm định độ ẩm tương đối của lồng ấp |
5.3.4 |
X |
X |
X |
|
3.5 |
Kiểm định chức năng điều khiển oxy |
5.3.5 |
X |
X |
X |
4. THIẾT BỊ, ĐIỀU KIỆN MÔI TRƯỜNG VÀ CHUẨN BỊ KIỂM ĐỊNH
4.1. Thiết bị dùng trong kiểm định
Bảng 2. Thiết bị dùng trong kiểm định
|
TT |
Tên thiết bị |
Thông số kỹ thuật |
|
1 |
Nhiệt kế |
Phạm vi đo: (0 ÷ 50) °C |
|
2 |
Ẩm kế |
Phạm vi đo: (0 ÷ 100) %RH |
|
3 |
Thiết bị phân tích an toàn điện |
Đo các thông số về an toàn điện đáp ứng được 2 tiêu chuẩn: - IEC 60601-1 - IEC 62353 |
|
4 |
Thiết bị dùng trong kiểm định các thông số của lồng ấp trẻ sơ sinh có Phạm vi đo và độ chính xác đáp ứng các thông số (Thiết bị phân tích lồng ấp trẻ sơ sinh có phạm vi đo trên cùng 1 thiết bị) hoặc từng thiết bị riêng lẻ) |
- Phạm vi đo nhiệt độ (0 ÷ 50) °C hoặc phạm vi đo nhiệt độ phải lớn hơn nhiệt độ của thiết bị được kiểm định ít nhất 25%; Độ chính xác: ± ≤ 0,05 °C (hoặc thiết bị riêng lẻ có phạm vi đo và độ chính xác như trên) - Phạm vi đo độ ẩm: (0 ÷ 100) %RH; Độ chính xác: ± ≤ 3 %RH (hoặc thiết bị riêng lẻ có phạm vi đo và độ chính xác như trên) - Phạm vi đo tốc độ không khí: (0,2 ÷ 2) m/s hoặc phạm vi đo tốc độ không khí phải lớn hơn tốc độ không khí của thiết bị được kiểm định ít nhất 25%; Độ chính xác: ± < 0,1m/s (hoặc thiết bị riêng lẻ có phạm vi đo và độ chính xác như trên) - Phạm vi đo cường độ âm thanh, khoảng đo tối thiểu: (30 ÷ 100) dB; Độ chính xác: ± ≤ 5 dB (hoặc thiết bị riêng lẻ có phạm vi đo và độ chính xác như trên) - Bộ tạo nhiệt độ da có phạm vi đo tối thiểu từ (35÷42)°C ; Độ chính xác ± ≤ 0,05 °C (hoặc thiết bị riêng lẻ có Phạm vi đo và độ chính xác như trên) |
|
5 |
Thiết bị đo nồng độ khí O2 |
- Khoảng đo nồng độ khí O2: (0 ÷ 100) %, Độ chính xác: ±1% |
4.2. Chuẩn bị kiểm định
- Nhiệt độ môi trường: (15 ÷ 40) °C.
- Độ ẩm tương đối: (40 ÷ 85) %RH.
- Vệ sinh môi trường: Môi trường phải thoáng khí, sạch sẽ
- Nguồn điện: 220 V ± 10%, tần số 50 Hz, có tiếp đất.
- Lồng ấp trẻ sơ sinh phải đầy đủ phụ kiện và đang hoạt động, phải được làm vệ sinh trước khi kiểm định.
- Thiết bị dùng kiểm định lồng ấp trẻ sơ sinh và lồng ấp trẻ sơ sinh phải đặt trong cùng một điều kiện môi trường tối thiểu 15 phút.
5. CÁC BƯỚC KIỂM ĐỊNH
5.1. Kiểm tra chung
5.1.1. Kiểm tra hồ sơ
Bảng 3. Danh mục hồ sơ được kiểm tra
|
TT |
Danh mục kiểm tra |
Ban đầu |
Định kỳ |
Sau sửa chữa lớn |
|
1 |
Số lưu hành hoặc giấy phép nhập khẩu |
X |
|
|
|
2 |
Tài liệu hướng dẫn sử dụng thiết bị (bằng tiếng Anh và tiếng Việt) |
X |
|
|
|
3 |
Chứng nhận xuất xứ (CO), chứng nhận chất lượng (CQ) |
X |
|
|
|
4 |
Sổ theo dõi quá trình sử dụng, sửa chữa, bảo trì, bảo dưỡng |
|
X |
X |
|
5 |
Kết quả kiểm định lần gần nhất |
|
X |
X |
Phương pháp: Kiểm tra tính đầy đủ và xem xét tài liệu đi kèm của các hồ sơ ở Bảng 3 và ghi lại kết quả vào biên bản kiểm định.
Kết luận: Kiểm tra được đánh giá Đạt khi hồ sơ đầy đủ và có nội dung phù hợp với thiết bị được kiểm định.
5.1.2. Kiểm tra bên ngoài
Bảng 4. Các nội dung kiểm tra bên ngoài
|
TT |
Danh mục kiểm tra |
Tiêu chí kiểm tra |
|
1 |
Tình trạng vệ sinh |
Sạch sẽ không bám bẩn |
|
2 |
Các bộ phận bên ngoài |
Buồng đặt trẻ, bàn phím, núm vặn, công tắc, tay cầm, chắc chắn, không vỡ hoặc rách, không lỏng hoặc không khít. |
|
3 |
Khả năng đáp ứng an toàn về cơ học |
Các mép cạnh của thiết bị không sắc nhọn, hoặc bọc nhựa bảo vệ |
|
4 |
Nối đất bảo vệ |
Máy được nối đất |
Phương pháp kiểm tra: Xem xét bằng mắt thường, dùng tay tác động vào các bộ phận của thiết bị.
Kết luận: Kiểm tra được đánh giá Đạt khi đạt các tiêu chí kiểm tra.
5.2. Kiểm định an toàn
5.2.1. Kiểm định an toàn điện
Tiêu chí kiểm định:
- Tiêu chí 1: Giới hạn cho phép giá trị điện trở của chốt nối đất trên vỏ máy tới chốt nối đất của phích cắm: < 0,5 Ω.
- Tiêu chí 2: Giới hạn cho phép dòng điện rò tần số thấp của vỏ máy: < 0,5 mA hoặc phải đạt các giá trị dòng rò thiết bị trong Bảng 5.
- Tiêu chí 3: Giới hạn cho phép dòng điện rò tần số thấp qua bộ phận ứng dụng (tức tổng dòng điện rò chảy từ bộ phận ứng dụng xuống đất và bất kì phần kim loại nào trên vỏ máy khi có một điện áp ngoài đặt lên bộ phận ứng dụng của thiết bị) phải đạt các giá trị trong Bảng 5.
Bảng 5. Bảng giá trị dòng điện rò cho phép
|
Dòng điện rò (RMS) |
Bộ phận ứng dụng |
||
|
Loại B |
Loại BF |
Loại CF |
|
|
Dòng điện rò thiết bị - phương pháp đo thay thế |
|
||
|
Thiết bị Class I Thiết bị Class II |
1000 μA 500 μA |
1000 μA 500 μA |
1000 μA 500 μA |
|
Dòng điện rò thiết bị - phương pháp đo trực tiếp hoặc chênh lệch |
|
||
|
Thiết bị Class I Thiết bị Class II (dòng chạm vỏ) |
500 μA 100 μA |
500 μA 100 μA |
500 μA 100 μA |
|
Dòng điện rò qua bộ phận ứng dụng - phương pháp đo thay thế |
|
||
|
Thiết bị Class I và Class II |
- |
5000 μA |
50 μA |
|
Dòng điện rò qua bộ phận ứng dụng - phương pháp đo trực tiếp |
|
|
|
|
Thiết bị Class I và Class II |
- |
5000 μA |
50 μA |
Phương pháp kiểm định:
Kết nối thiết bị phân tích an toàn điện với Lồng ấp trẻ sơ sinh để tiến hành phép đo.
a) Tiêu chí 1: Đo điện trở của chốt nối đất trên vỏ máy tới chốt nối đất của phích cắm.
- Giá trị điện trở này bao gồm giá trị của điện trở bên trong thiết bị cần đo và điện trở trong dây dẫn nối với nguồn điện.

Hình 1. Thiết lập kết nối đo điện trở của chốt nối đất trên vỏ máy
tới chốt nối đất của phích cắm
Tiến hành đo và ghi lại các tham số vào biên bản.
Kết luận: Tiêu chí được đánh giá ĐẠT khi đạt tiêu chí kiểm định.
b) Tiêu chí 2: Đo dòng điện rò tần số thấp của vỏ máy.

Hình 2. Thiết lập kết nối đo dòng điện rò tần số thấp của vỏ máy
Tiến hành đo và ghi lại các tham số vào biên bản.
Kết luận: Tiêu chí được đánh giá Đạt khi đạt tiêu chí kiểm định.
c) Tiêu chí 3: Đo dòng điện rò qua bộ phận ứng dụng: Kết nối thiết bị phân tích an toàn điện với lồng ấp trẻ sơ sinh để tiến hành phép đo:
- Xem Phụ lục A: Lưu đồ đo dòng điện rò
- Xem Phụ lục B: Đo dòng điện rò qua bộ phận ứng dụng
Tiến hành đo và ghi lại các tham số vào biên bản.
Kết luận: Tiêu chí được đánh giá Đạt khi thỏa mãn các tiêu chí kiểm định ở trên.
5.2.2. Kiểm định cường độ âm thanh và chức năng cảnh báo
Tiêu chí kiểm định:
- Tiêu chí 1: Cường độ âm thanh bên trong lồng ấp trẻ sơ sinh phải ≤ 60 dB khi lồng ấp trẻ sơ sinh hoạt động ở nhiệt độ khống chế 32 °C.
- Tiêu chí 2: Cường độ âm thanh báo động bên trong lồng ấp phải ≤ 80 dB khi lồng ấp trẻ sơ sinh xuất hiện âm thanh cảnh báo.
Phương pháp kiểm định:
a) Tiêu chí 1:
Phương pháp kiểm định:
Thiết lập thiết bị phân tích lồng ấp trẻ sơ sinh và lồng ấp trẻ sơ sinh theo hướng dẫn của nhà sản xuất thiết bị
- Thiết lập đầu đo âm thanh của thiết bị phân tích lồng ấp trẻ sơ sinh và đặt đầu đo vào tâm của lồng ấp trẻ sơ sinh tại vị trí cách 10 cm so với mặt phẳng ở giữa tấm đệm đặt trẻ.
- Bật lồng ấp ở điều kiện vận hành bình thường tại nhiệt độ 32 °C và độ ẩm tối đa
- Tiến hành đo mức âm thanh bên trong khi lồng ấp hoạt động.
- Ghi dữ liệu vào biên bản kiểm định.
Kết luận: Kiểm định được đánh giá Đạt khi đạt tiêu chí kiểm định.
b) Tiêu chí 2:
Thiết lập thiết bị phân tích lồng ấp trẻ sơ sinh và lồng ấp trẻ sơ sinh theo hướng dẫn của nhà sản xuất thiết bị.
- Thiết lập đầu đo âm thanh của thiết bị phân tích lồng ấp trẻ sơ sinh và đặt đầu đo vào tâm của lồng ấp trẻ sơ sinh tại vị trí cách 10 cm so với mặt phẳng ở giữa tấm đệm đặt trẻ.
- Bật lồng ấp ở điều kiện vận hành bình thường tại nhiệt độ 32 °C và độ ẩm tối đa
- Tạo các sự cố (mất điện, bị kẹt đường dẫn không khí thoát ra từ khoang trẻ, bị kẹt đường dẫn không khí thổi vào...) để xuất hiện âm thanh báo động.
- Tiến hành đo mức âm thanh bên bên trong lồng ấp khi có âm thanh báo động
- Ghi dữ liệu vào biên bản kiểm định.
Kết luận: Kiểm định được đánh giá Đạt khi đạt tiêu chí kiểm định ≤ 80 dB.
5.3. Kiểm định tính năng kỹ thuật
5.3.1. Kiểm định độ đồng đều nhiệt độ của lồng ấp trẻ sơ sinh
Tiêu chí kiểm định: Nhiệt độ trung bình của mỗi điểm góc phần tư B, C, D, E phải nằm trong khoảng ± ≤ 0,8 °C trong trường hợp đệm phẳng hoặc nằm trong khoảng ± ≤ 1 °C trong trường hợp đệm nghiêng chênh lệch nhiệt độ so với điểm giữa A
Phương pháp kiểm định:
- Chia tấm đệm ra làm 4 phần bằng nhau, các điểm B, C, D, E là các điểm nằm ở chính giữa 4 phần này và nằm cách mặt đệm 10 cm. Vị trí đặt các điểm đo nhiệt độ trong lồng ấp trẻ sơ sinh trong quá trình kiểm định được mô tả như ở Hình 3. Điểm A là điểm nằm chính giữa tấm đệm và cũng nằm cách mặt đệm 10 cm.

Hình 3. Vị trí các điểm đo nhiệt độ trong khoang trẻ
- Thiết lập lồng ấp hoạt động đến nhiệt độ ổn định tại nhiệt độ khống chế 32 °C tiến hành kiểm định. Sau đó điều chỉnh nhiệt độ cài đặt tăng từ 32 °C lên nhiệt độ khống chế 36 °C trong khoảng thời gian ít nhất là 30 phút.
- Các bộ cảm biến nhiệt độ chuẩn được đặt ở nằm điểm A, B, C, D, E. Nhiệt độ trung bình của mỗi điểm trong năm điểm được đo ở nhiệt độ khống chế là 32 °C và 36 °C. Sự khác biệt giữa năm giá trị đo và nhiệt độ trung bình của lồng ấp được đo phải được ghi vào biên bản kiểm định.
- Thực hiện lấy giá trị đo được tại nhiệt độ 32 °C và 36 °C và ghi vào biên bản kiểm định, tính giá trị trung bình.
Tính toán:
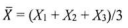
- Thực hiện đo tại 5 điểm A, B, C, D, E ở 2 mức nhiệt độ 32 °C và 36 °C và xử lý kết quả đo theo các công thức sau:
+ Tính giá trị trung bình của 4 kết quả do tại các điểm B, C, D, E :

Trong đó:
: là giá trị trung bình.
X1, X2, X3, X4: là kết quả đo được.
+ Giá trị trung bình không vượt quá ± 0,8 °C trong trường hợp bình thường hoặc không quá ±1°C trong trường hợp đệm nghiêng.
Kết luận: Kiểm định được đánh giá Đạt khi đạt tiêu chí kiểm định.
5.3.2. Kiểm định độ chính xác của cảm biến nhiệt độ da
Tiêu chí kiểm định: Độ chính xác của cảm biến nhiệt độ da nằm trong khoảng ± 0,3 °C so với nhiệt độ cài đặt trên lồng ấp trẻ sơ sinh.
Phương pháp kiểm định:
- Thiết lập thiết bị phân tích lồng ấp trẻ sơ sinh và lồng ấp trẻ sơ sinh theo hướng dẫn của nhà sản xuất thiết bị.
- Cài đặt nhiệt độ của bộ tạo nhiệt chuẩn ổn định ở mức danh định 36 °C.
- Ghi nhận giá trị nhiệt độ chuẩn và nhiệt độ đo được bởi cảm biến nhiệt độ da của lồng ấp trẻ sơ sinh và ghi dữ liệu vào biên bản kiểm định.
- Thực hiện lấy 3 lần giá trị đo (thời gian giữa mỗi lần đo ít nhất 5 phút) và ghi vào biên bản kiểm định, tính giá trị trung bình.
Tính toán:
- Thực hiện đo ghi 3 lần và xử lý kết quả đo theo các công thức sau:
+ Tính giá trị trung bình của 3 kết quả sau 3 lần đo:

Trong đó:
: là giá trị trung bình.
X1, X2, X3: là kết quả có được sau 3 lần đo.
+ Giá trị trung bình không vượt quá ±0,3 °C
Kết luận: Kiểm định được đánh giá Đạt khi đạt tiêu chí kiểm định.
5.3.3. Kiểm định tốc độ không khí tối đa ở trong lồng ấp trẻ sơ sinh
Tiêu chí kiểm định: Lồng ấp trẻ sơ sinh bình thường tốc độ không khí tại mỗi điểm trên mặt đệm không được vượt quá 0,35 m/s.
Phương pháp kiểm định:
- Thiết lập thiết bị phân tích lồng ấp trẻ sơ sinh và lồng ấp trẻ sơ sinh theo hướng dẫn của nhà sản xuất thiết bị.
- Thiết lập lồng ấp trẻ sơ sinh hoạt động tại nhiệt độ 36 °C. trong dải hoạt động.
- Cảm biến tốc độ chuẩn được đặt ở điểm A như Hình 3.
- Ghi nhận giá trị tốc độ đo được bởi cảm biến tốc độ trong lồng ấp trẻ sơ sinh và ghi dữ liệu vào biên bản kiểm định.
- Giá trị đo được tại mỗi điểm không vượt quá 0,35 m/s
Kết luận: Kiểm định được đánh giá Đạt khi đạt tiêu chí kiểm định.
5.3.4. Kiểm định độ ẩm tương đối của lồng ấp trẻ sơ sinh
Tiêu chí kiểm định: Giá trị chỉ thị độ ẩm tương đối của lồng ấp trẻ sơ sinh phải có độ chính xác ± ≤ 10% so với giá trị đo của thiết bị kiểm định.
Phương pháp kiểm định:
- Thiết lập thiết bị phân tích lồng ấp trẻ sơ sinh và lồng ấp trẻ sơ sinh theo hướng dẫn của nhà sản xuất thiết bị.
- Thiết lập lồng ấp trẻ sơ sinh hoạt động đến nhiệt độ ổn định tại nhiệt độ khống chế 36°C
- Đo độ ẩm tại vị trí điểm A trong lồng ấp trẻ sơ sinh trong quá trình kiểm định được mô tả như ở Hình 3.
- Sự khác biệt giữa giá trị đo thực tế trên thiết bị đo và chỉ thị độ ẩm của lồng ấp trẻ sơ sinh được ghi dữ liệu vào biên bản kiểm định.
Kết luận: Kiểm định được đánh giá Đạt khi đạt tiêu chí kiểm định.
5.3.5. Kiểm định chức năng điều khiển oxy (đối với lồng ấp trẻ sơ sinh được tích hợp bộ điều khiển oxy và đơn vị có sử dụng chức năng này)
Tiêu chí kiểm định :
- Nếu lồng ấp trẻ sơ sinh tích hợp bộ kiểm soát O2, thì yêu cầu phải có cảm biến độc lập để điều khiển và kiểm soát O2 khi có bất thường phải có báo động hình ảnh hoặc âm thanh nếu nồng độ O2 hiển thị sai lệch với mức kiểm soát đã cài đặt lớn hơn ± 5 %V Oxy
Phương pháp kiểm tra báo động
- Đặt nồng độ ôxy ở mức 35%V. Khi đạt được trạng thái ổn định, nồng độ suy giảm nhanh đến nhỏ hơn 29%V. Kiểm tra điều này bằng kích hoạt báo động tại nồng độ ôxy đã hiển thị không nhỏ hơn 30%V.
- Duy trì nồng độ ôxy ở mức 35%V. Khi đạt được trạng thái ổn định, tăng nhanh nồng độ lên hơn 41%V. Kiểm tra điều này bằng cách kích hoạt báo động nồng độ ôxy đặt hiển thị không lớn hơn 40%V.
Lưu ý: Chỉ áp dụng cho lồng ấp trẻ sơ sinh được tích hợp bộ điều khiển oxy.
Phương pháp kiểm định :
- Thiết lập thiết bị phân tích lồng ấp trẻ sơ sinh và lồng ấp trẻ sơ sinh theo hướng dẫn của nhà sản xuất thiết bị.
- Đo nồng độ oxy tại các điểm cài đặt 30 %V, 60 %V, và Max %v (theo HDSD của NSX) mỗi mức cài đặt ta đo 3 lần mỗi lần cách nhau ít nhất 5 phút. Giữa các lần cài đặt (30%V, 60%V, và Max %V) cách nhau ít nhất 10 phút. Sau đó ghi dữ liệu vào biên bản kiểm định.
Tính toán sai số:
- Thực hiện đo tại 3 mức cài đặt 30 %V, 60 %V, và Max %V mỗi mức 3 lần và xử lý kết quả đo theo các công thức sau:
+ Tính giá trị trung bình của 3 kết quả sau 3 lần đo:

Trong đó:
: là giá trị trung bình.
X1, X2, X3: là kết quả có được sau 3 lần đo.
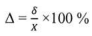
+ Tính giá trị sai lệch của giá trị trung bình so với giá trị cài đặt:


Trong đó:
: là giá trị sai lệch.
X: là giá trị cài đặt ban đầu.
+ Tính sai số Δ của giá trị đo được so với giá trị cài đặt:

Kết luận: Kiểm định được đánh giá Đạt khi đạt các tiêu chí kiểm định.
6. XỬ LÝ CHUNG
Kết quả kiểm định được ghi vào biên bản kiểm định theo Mẫu số 01.
6.1. Lồng ấp trẻ sơ sinh đạt yêu cầu :
Lồng ấp trẻ sơ sinh sau khi kiểm định đạt các yêu cầu quy định theo quy trình kiểm định này thì cấp giấy chứng nhận kiểm định là “Đạt” theo mẫu số 02 và dán tem kiểm định.
6.2. Lồng ấp trẻ sơ sinh không đạt yêu cầu :
- Lồng ấp trẻ sơ sinh sau khi kiểm định nếu không đạt một trong các yêu cầu quy định của quy trình này thì cấp chứng nhận kiểm định là “Không đạt” theo Mẫu số 02 và xóa dấu kiểm định cũ (nếu có).
- Đơn vị sử dụng được cấp Biên bản kiểm định làm căn cứ cho sửa chữa, hiệu chuẩn.
6.3. Mẫu tem giấy kiểm định
- Tem kiểm định có thể là tem giấy, tem chống hàng giả, tem gắn chip phải tra cứu được các thông tin tối thiểu sau:
+ Thông tin đơn vị kiểm định:
+ Tên thiết bị:
+ Số sêri (serial number):
+ Ngày kiểm định:
+ Thời hạn đến:

Hình 4.5. Mẫu tem giấy kiểm định
|
Chú thích: [1]. Số (số tem): là các số tự nhiên kế tiếp nhau để quản lý và theo dõi. [2]. Ngày kiểm định: ghi ngày, tháng, năm kiểm định (ví dụ: ngày 01 tháng 5 năm 2021). [3]. Thời hạn đến: ghi ngày cuối cùng của chu kỳ kiểm định (ví dụ: ngày 30 tháng 4 năm 2022). |
[4]. Màu chữ và màu số: “Tên tổ chức kiểm định”: màu đỏ; số tem: màu đỏ; các chữ và số còn lại: màu đen. [5]. Nền tem màu vàng, viền màu xanh lá cây, chi tiết hoa văn của tem do tổ chức kiểm định tự chọn. [6]. Kích thước của tem: - B = 5/6 A; - C = 1/5 B; - Giới hạn kích thước của tem: 50mm ≤ A ≤ 60 mm. |
Vui lòng Tải về để xem phần Biểu mẫu