CHẤT LƯỢNG KHÔNG KHÍ - XÁC ĐỊNH NỒNG ĐỘ SỐ SỢI VÔ CƠ TRONG KHÔNG KHÍ BẰNG KÍNH HIỂN VI QUANG HỌC PHẢN PHA - PHƯƠNG PHÁP LỌC MÀNG
Air quality - Determination of the number concentration of airborne inorganic fibres by phase contrast optical microscopy - Membrane filter method
Lời nói đầu
TCVN 6504 : 1999 hoàn toàn tương đương với ISO 8672 : 1993.
TCVN 6504 : 1999 do Ban kỹ thuật TCVN/TC 146 - Chất lượng không khí biên soạn, Tổng cục Tiêu chuẩn Đo lường Chất lượng đề nghị, Bộ Khoa học, Công nghệ và Môi trường ban hành.
CHẤT LƯỢNG KHÔNG KHÍ - XÁC ĐỊNH NỒNG ĐỘ SỐ SỢI VÔ CƠ TRONG KHÔNG KHÍ BẰNG KÍNH HIỂN VI QUANG HỌC PHẢN PHA - PHƯƠNG PHÁP LỌC MÀNG
Air quality - Determination of the number concentration of airborne inorganic fibres by phase contrast optical microscopy - Membrane filter method
1.1 Tổng quát
Tiêu chuẩn này quy định việc xác định nồng độ số sợi vô cơ trong không khí bằng kính hiển vi quang học phản pha khi sử dụng phương pháp lọc màng trong môi trường làm việc như đã quy định bằng các chuẩn cứ đếm ở 4.3.4.
1.2 Các hạn chế của phương pháp
Phương pháp có thể áp dụng để lấy mẫu thông thường và ước lượng mẫu cần thiết để đánh giá sự tiếp xúc cá nhân với các sợi và để kiểm soát sự có mặt của chúng trong môi trường lao động. Phương pháp này không thể xác định được thành phần hoặc đặc tính của các kiểu sợi đặc thù và việc sử dụng nó bị hạn chế trong môi trường lao động nơi mà các loại sợi vô cơ chiếm ưu thế.
Việc sử dụng phương pháp này cũng có những hạn chế khi áp dụng cho các mẫu bụi có chứa các loại sợi hình tấm hoặc hình kim do đó nó không thể thực hành nếu không có sự hiểu biết đầy đủ về môi trường lao động. Có nhiều phương pháp phân tích có thể được sử dụng để mang lại sự hiểu biết đầy đủ về các mẫu phức tạp, ví dụ phương pháp kính hiển vi sáng phân cực, phương pháp kính hiển vi điện tử.
Với các thông số đã chỉ ra trong phương pháp này, giới hạn phát hiện dưới theo lý thuyết cho 8h lấy mẫu là 0,02 sợi/cm3. Tuy nhiên, giới hạn sử dụng thực tế thường là 0,1 sợi/cm3 hoặc cao hơn. Đó là bởi vì trên các giấy lọc trắng (đối chứng) thường có thể đếm được vài sợi trong 100 trường đếm. Các “sợi” này là các chất nhiễm bẩn trên giấy lọc hoặc các chất giả được tạo nên từ quá trình làm trong giấy lọc mà nó xuất hiện các sợi. Ngày cả việc đếm thêm các trường hoặc tăng thời gian lấy mẫu cũng không khắc phục được vấn đề bụi nền, khi mà các sợi được quan tâm là thành phần số ít của đám bụi.
Chất gắn được đề nghị trong phương pháp này có chỉ số khúc xạ xấp xỉ 1,45. Trong môi trường lao động nơi mà các sợi có chỉ số khúc xạ trong phạm vi 1,4 đến 1,5 có thể xuất hiện, thì phương pháp gắn axêtôn-triaxêtin có thể không thích hợp và phải dùng một chất gắn khác.
Mẫu được lấy bằng cách hút một lượng không khí xác định qua giấy lọc màng bằng một bơm lấy mẫu chạy bằng ắcqui. Sau đó giấy lọc được chuyển từ một màng đục mờ thành một mẫu trong suốt đồng nhất về quang học. Sau đó, các sợi được đo kích thước và được đếm bằng cách dùng kính hiển vi phản pha. Kết quả được biểu diễn bằng số sợi/cm3 không khí, được tính toán từ số sợi trên giấy lọc và thể tích đã đo của không khí đã lẫy mẫu.
3 Kỹ thuật và thiết bị lấy mẫu
3.1 Giấy lọc
Các giấy lọc màng (hỗn hợp este của xenlulô hoặc xenlulô nitrat) có kích thước lỗ lọc 0,8 àm hoặc nhỏ hơn và đường kính 25 mm có lưới in sẵn được ưa dùng hơn.
3.2 Hộp đỡ giấy lọc
Cần sử dụng hộp đỡ giấy lọc có mặt hở gắn với một nắp bảo vệ. Khoảng cách giữa mặt hở của nắp và mặt phẳng giấy lọc phải là khoảng 1,5 và 2 lần đường kính bên trong của nắp. Đường kính bên trong của nắp phải bằng ít nhất đường kính giấy lọc tiếp xúc nhưng không lớn hơn 2 mm đường kính giấy lọc. Hình 1 chỉ ra hai cách sắp xếp có thể áp dụng.
Nắp giúp bảo vệ giấy lọc khỏi nhiễm bẩn ngẫu nhiên. Nên dùng một nắp chụp bằng nhựa plastic vì nguy cơ mất sợi có thể do sự tích tĩnh điện. Bầu lọc và nắp phải rửa kỹ trước khi dùng lại.
Vì thiết kế giá đỡ giấy lọc được dùng cho một số bầu lọc nên cần phải dùng một miếng đệm đỡ giấy lọc có kích cỡ lỗ lớn.
Mục đích của miếng đệm đỡ là để đảm bảo sự phân bố đồng đều của không khí đi qua màng lọc ban đầu.
3.3 Lưu giữ và vận chuyển
Các chất dính không được sử dụng.
Kinh nghiệm chỉ ra rằng cố định các sợi trên bề mặt giấy lọc bằng tế bào hoặc các chất kết dính khác là không cần thiết và điều này không được làm.
Các giấy lọc phải được vận chuyển trong bầu lọc kín mà chỉ được mở ngay trước khi sử dụng và đóng lại ngay sau đó.
Cách chuyển giấy lọc sang đĩa petri như sau :
ở khu vực không có bụi dùng kẹp nhấc cẩn thận mỗi giấy lọc đã dùng ra khỏi bầu lọc.
Cẩn thận để kẹp vào rìa giấy không tiếp xúc với bụi. Đặt giấy lọc mặt có bụi lên trên vào trong đĩa petri plastic hoặc hộp tương tự. Gắn chặt giấy lọc xuống đáy đĩa bằng một hoặc hai mẩu băng dính gắn vào mép không tiếp xúc với bụi. Sau khi vận chuyển giấy lọc có thể lấy ra dễ dàng khỏi đĩa bằng một con dao mổ.
Đóng gói bầu lọc hoặc đĩa petri vào trong hộp cứng với chất liệu nhồi đủ mềm để ngăn ngừa cả sự va đập và sự rung giấy lọc. Các mẫu phải được dán nhãn rõ ràng và cần phải chú ý để đảm bảo rằng các giấy lọc không thể bị dùng lại một cách vô tình. Để làm việc này, không được đánh dấu lên giấy lọc này bởi vì có nguy cơ làm hỏng giấy lọc.
3.4 Bơm lấy mẫu
Phải dùng bơm xách tay chạy bằng acqui để lấy mẫu cá nhân. Dung lượng của acqui phải đủ để hoạt động liên tục suốt thời gian lấy mẫu đã chọn. Dòng khí phải đều không xung. Theo tiêu chuẩn dự kiến tối thiểu thì phải không có dao động nhìn thấy được ở vùng biến thiên của phao lưư lượng kế khi lưu lượng kế được nối với hộp đỡ giấy lọc.
Mặc dù một số bơm đã được lắp bộ giảm chấn, nhưng một bộ giảm chấn ngoài có thể phải được đặt lắp giữa bơm và giấy lọc. Không bao giờ chạy bơm mà không có giấy lọc.
ống nối phải không bị co thắt và các chỗ nối phải kín khít.

Hình 1 - Hộp đỡ giấy lọc
3.5 Tốc độ dòng
Tốc độ dòng phải được điều chỉnh để xấp xỉ 1 l/phút tương đương với tốc độ bề mặt 4 cm/s. Điều chỉnh mật độ mẫu theo phạm vi quy định trong 3.6 phải được thực hiện bằng cách điều chỉnh thời gian lấy mẫu như trong 3.8. Tốc độ dòng phải được kiểm tra ít nhất là trước và sau khi lấy mẫu. Nếu khác tốc độ dòng ban đầu là lớn hơn 10 % thì mẫu phải được loại bỏ. Nếu sử dụng một lưu lượng kế bên ngoài để xác định tốc độ dòng của bơm thì phải cẩn thận để đảm bảo rằng lưu lượng kế không gây ra sự thay đổi tốc độ dòng mà không biết. Các phép đo tốc độ dòng của “chuỗi lấy mẫu” sử dụng lưu lượng kế bong bóng xà phòng có hoặc không có lưu lượng kế bên ngoài là một phương pháp thích hợp để xác định bất cứ sự thay đổi nào của tốc độ dòng. Lưu lượng kế được sử dụng phải có khả năng đo tốc độ dòng với độ đúng trong trong phạm vi ± 5 % của dòng thực (với giới hạn tin cậy 95 %).
Xem phụ lục E để chuẩn tốc độ dòng.
3.6 Sức tải sợi có thể chấp nhận được trên giấy lọc
3.6.1 Sức tải tối thiểu
Sức tải tối thiểu của giấy lọc phải vượt 50 sợi/mm2 (xấp xỉ 0,4 sợi/diện tích ô chia vạch Walton-Beckett). Trong trường hợp đặc biệt (khi chỉ số nồng độ có độ chính xác thấp có thể chấp nhận được), nó cho phép hạ thấp sức tải sợi có thể chấp nhận được tới 20 sợi/mm2 (xấp xỉ 0,15 sợi/diện tích ô chia vạch Walton-Beckett).
Sự hạ thấp sức tải sợi có thể chấp nhận được may ra vừa đủ cho các hệ số độ lệch chuẩn có thể chấp nhận được. Các hạn chế được mô tả trong phần 1.2 cũng cần được lưu ý khi đo các nồng độ sợi rất thấp.
3.6.2 Sức tải tối đa
Sức tải giấy lọc không được vượt tối đa xấp xỉ 650 sợi/mm2 (5 sợi/diện tích ô chia vạch tính trung bình cho tất cả các trường được đếm) đối với phần lớn các trường hợp lấy mẫu. Điều này có thể là cần để giảm xuống trung bình khoảng một sợi/diện tích ô chia vạch khi có mặt các bụi hỗn hợp hoặc bụi kết khối, và đôi khi có thể tăng lên gấp đôi nếu chỉ có mặt các sợi. Sức tải trung bình của giấy lọc vượt quá 5 sợi/diện tích ô chia vạch tạo ra xu hướng đánh giá thấp kết quả và phải được xử lý thật thận trọng.
3.7 Các mẫu trắng
Đối với một mẻ giấy lọc được sử dụng để lấy mẫu và mỗi 25 giấy lọc trong một mẻ hãy chọn ra một giấy lọc để cùng xử lý như các mẫu thông thường nhưng không mở nắp, không hút không khí qua nó hoặc không gắn vào người công nhân. Nếu mẫu trắng này dẫn đến số sợi đếm được lớn hơn 5 sợi/100 diện tích ô chia vạch thì toàn bộ quy trình lấy mẫu và phân tích cần phải được kiểm tra kỹ để tìm ra nguyên nhân của sự nhiễm bẩn.
Khi mẫu trắng đếm thấy vượt quá 5 sợi/100 diện tích ô chia vạch và cũng vượt quá 10 % của số sợi trong mẫu thực tế/100 diện tích ô chia vạch thì các mẫu được đại diện bởi mẫu trắng này không được chấp nhận để đánh giá sự tiếp xúc của người công nhân.
Tuy nhiên, sự xác định vẫn có ích để chỉ sự tuân thủ theo tiêu chuẩn tiếp xúc. Ví dụ, nếu sự tiếp xúc tính được là nhỏ hơn giá trị cho phép được quy định ngay cả khi có sự nhiễm bẩn thì lúc này là sự đánh giá tuân thủ thận trọng.
Ví dụ : Số sợi đếm của giấy lọc trắng là 15 sợi/100 ô chia vạch (0,15 sợi/1 ô chia vạch) trong khi mẫu có 108 sợi/ 90 ô chia vạch (1,2 sợi/1 ô chia vạch).

Vì tỷ lệ phần trăm này vượt quá 10% nên mẫu không được chấp nhận. Hơn nữa, bởi vì số đếm của mẫu trắng vượt quá 5 sợi/100 trường đếm nên phải tìm nguyên nhân nhiễm bẩn và khắc phục.
3.8 Thời gian lấy mẫu đơn được khuyến nghị
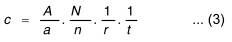
Phải xem xét sức tải của giấy lọc được trình bày chi tiết trong phần 3.6, thời gian t tính bằng phút, đối với mỗi mẫu đơn có thể được xác định từ công thức sau :

trong đó
A là diện tích giấy lọc hiệu dụng, tính bằng milimét vuông;
a là diện tích ô chia vạch, tính bằng milimét vuông;
Cexp là nồng độ sợi trung bình, tính bằng số sợi trên centimét khối thu được trong quá trình lấy mẫu đơn;
L là sức tải cần thiết của giấy lọc, tính bằng số sợi/diện tích ô chia vạch;
r là tốc độ dòng, tính bằng centimét khối trên phút.
Để cung cấp hướng dẫn về chọn thời gian lấy mẫu đơn, bảng1 đưa ra thời gian lấy mẫu đơn được khuyến nghị trên cơ sở 2 sợi/diện tích ô chia vạch. Nếu không thể sử dụng giá trị này, thì thời gian tối đa và tối thiểu cho phép thực hiện sự lựa chọn nhưng vẫn cần duy trì trong những giới hạn nói ở phần 3.6. Nếu không biết nồng độ và mục đích là lấy mẫu để xác định sự tuân thủ theo tiêu chuẩn, thì thời gian lấy mẫu đơn nên được khuyến nghị theo giới hạn phù hợp.
Bảng 1 _ Thời gian lấy mẫu đơn
|
Thời gian lấy mẫu đơn |
|||
|
Nồng độ sợi dự tính sợi/cm3 |
ttối thiểu1) |
t khuyến nghị2) |
ttối đa3) |
|
0,1 0,5 1 2 5 10 20 |
3,3h 40 phút 20 phút 10 phút 4) 4) 4) |
cả ca 3h 1,5h 45 phút 20 phút 10 phút 10 phút |
cả ca 8h 4h 2h 1h 30 phút 10 phút |
|
1) 0,4 sợi/diện tích ô chia vạch tương đương với 50 sợi/mm2. 2) 2 sợi/diện tích ô chia vạch. 3) 5 sợi/diện tích ô chia vạch. 4) Các giai đoạn lấy mẫu ngắn hơn 10 phút không được khuyến nghị. |
|||
Thời gian lấy mẫu phải được tính toán khoảng ± 2,5%.
Chú thích 1 - Các đồng hồ hoặc máy đếm gắn trong một số bơm không phải lúc nào cũng đáng tin cậy.
3.9 Chương trình lấy mẫu và lập hồ sơ
Các ví dụ về chương trình lấy mẫu được đưa ra trong phụ lục D. Tất cả các dữ liệu cần thiết cho việc xác định nồng độ sợi phải ghi chép lại cũng như các chi tiết lấy mẫu. Ví dụ về một hồ sơ lấy mẫu, xem phụ lục G.
4.1 Chuẩn bị mẫu
4.1.1 Làm sạch tiêu bản và thiết bị
Phải duy trì tình trạng sạch trong suốt thời gian.
Nơi chuẩn bị bẩn có thể gây ra nhiễm bẩn mẫu và các kết quả sai.
Làm sạch các phiến kính bằng vải lau thấu kính hoặc giấy công nghiệp và đặt lên một bề mặt sạch, ví dụ trên tấm vải lau thấu kính. Một thao tác đúng là làm sạch từng lam kính bằng miếng vải lau thấu kính ngay trước khi sử dụng để đảm bảo rằng bề mặt không bị nhiễm bẩn.
Cảnh báo - Một số loại vải lau thấu kính có thể sinh ra các sợi nhỏ có thể làm nhiễm bẩn lúc chuẩn bị.
Lau sạch một con dao mổ và chiếc kẹp bằng vải lau thấu kính rồi đặt vào nơi sạch, ví dụ lên vải lau thấu kính mỏng. Khi gắn một loạt giấy lọc, các dụng cụ gắn phải lau sạch trước khi xử lý mỗi mẫu.
4.1.2 Cắt mẩu giấy lọc
Nên gắn nguyên cả tờ giấy lọc.
Nếu cần thiết phải cắt giấy lọc thì tất cả công việc cắt này phải làm bằng dao mổ, dùng động tác lăn. Không dùng kéo. Khuyến nghị là mảnh nhỏ nhất được gắn nên có hình nêm và xấp xỉ 1/4 hoặc 1/3 giấy lọc.
4.1.3 Gắn mẫu
Để gắn mẫu sử dụng phương pháp axêtôn-triaxêtin được mô tả trong phụ lục A, trừ khi chỉ số khúc xạ bị thay đổi thì phải sử dụng phương pháp khác (xem 1.2).
Cảnh báo - Việc gắn axêtôn phải được thực hiện chỉ trong tủ hốt hoặc buống hốt. Không được tiến hành ở gần các nơi có ngọn lửa trần.
4.2 Các yêu cầu về quang học
4.2.1 Thiết bị kính hiển vi
Bởi vì các kính hiển vi có "đặc trưng kỹ thuật" như nhau có thể cho các tính năng hoàn toàn khác nhau, nên điều cần thiết là tính năng của các kính hiển vi được đề xuất và đang có phải được đánh giá bằng phiến kính kiểm tra giới hạn phát hiện (xem phụ lục C). Miễn là chuẩn mực này được đáp ứng thì những sự sai lệch nhỏ so với các đặc trưng kỹ thuật được khuyến nghị trong mục d) và e) là được phép. Một điều nữa cũng quan trọng là những người mới vào nghề nên tham khảo những người đã có kinh nghiệm trước khi chọn kính hiển vi để xác định bụi sợi. Những đặc trưng kỹ thuật cần thiết như sau :
a) Nguồn sáng, là nguồn sáng Kơhler hoặc kiểu Kơhler.
Nên chọn loại nguồn sáng được thiết kế bên trong nhưng một đèn bên ngoài cùng với gương phẳng cũng có thể thoả mãn. Cường độ sáng thay đổi được là cần thiết cho cả hai phương pháp chiếu sáng.
b) Bộ giá phụ, tụ quang phản pha vô sắc hoặc tụ quang Abbe được lồng vào bộ giá phụ.
Đó là phương tiện chỉnh tâm của mỗi vòng tụ quang đối với đĩa pha trong vật kính tương ứng và cũng là phương tiện điều chỉnh tiêu điểm của tụ quang.
c) Giá, một giá đặt mẫu vật cơ học lắp sẵn có các kẹp phiến kính di chuyển theo trục X-Y.
d) Các vật kính, đầu mút quay được gắn với các vật kính vô sắc phản pha có độ phóng đại x 10 và x 40.
Vật kính x 40 phải có khẩu độ 0,65 (NA), vô sắc. Nó phải có vòng pha hấp thụ không nhỏ hơn 65% và không lớn hơn 85%.
e) Thị kính đôi được chọn để có tổng độ phóng đại đạt từ 400 đến 600 lần.
ít nhất có một thị kính cho phép lồng được ô chia vạch vào. Kiểu hiệu chính và điều chỉnh tiêu điểm được khuyến nghị dùng. Không khuyến nghị dùng các bộ thay đổi độ phóng đại của kính.
f) ô chia vạch (Walton-Beckett)
Đường kính của ô chia vạch nằm trong mặt phẳng mẫu vật, khi sử dụng vật kính pha x40 và thị kính thích hợp phải là 100μm ± 2, xem phần phụ lục B về đặc trưng kỹ thuật, hiệu chuẩn, nguồn cung cấp thiết bị và thông tin đặt hàng.
g) Các phụ kiện
Kính viễn vọng định tâm hoặc thấu kính Bertrand dùng để kiểm tra các vòng pha trong tụ quang có trùng tâm (đồng tâm) với vật kính không.
Kính lọc màu lục (xanh lá cây) để đảm bảo điều kiện tương phản pha tốt nhất bởi vì các phần quang học được thiết kế cho bước sóng này.
Thước micromet ở giá phải được chia thành từng khoảng, tối đa là 10àm. Các phiến kính hiển vi phải có chất lượng tốt nhất.
Lam kính có độ dày (thông thường là 0,17mm) phù hợp cho mục đích công việc hiển vi. Độ dày không đúng của lam kính sẽ làm giảm chất lượng hình ảnh cuối cùng. Thiết bị đếm thao tác bằng tay hoặc thiết bị tương tự.
4.2.2 Các nguyên tắc điều chỉnh kính hiển vi
Làm theo các hướng dẫn của nhà sản xuất và làm theo các hướng dẫn sau :
a) Hình ảnh của nguồn sáng phải hội tụ và tập trung vào lỗ tụ quang của vòm hình vành khuyên cho đúng nguồn sáng Koehler;
b) Vật để khảo sát phải ở tiêu điểm;
c) Lỗ trường sáng phải được hội tụ, tập trung lên mẫu và chỉ mở ở một điểm nơi trường nhìn được chiếu sáng;
d) Các vòng pha (vòm hình vành khuyên và các yếu tố chuyển pha) phải đồng tâm;
e) ô chia vạch thị kính phải ở tiêu điểm.
Để có thêm các thông tin chi tiết hơn xem phụ lục H. Phải điều chỉnh kính hiển vi hàng ngày.
4.2.3 Hiệu chuẩn ô chia vạch thị kính
Mỗi một sự kết hợp giữa thị kính, vật kính và ô chia vạch phải được hiệu chuẩn nhờ thước micromet gắn ở giá. Khi bất cứ một thành phần nào trong ba thành phần thay đổi thì sự kết hợp phải được hiệu chuẩn lại. Đối với một số kính hiển vi, việc hiệu chuẩn kính sẽ thay đổi đối với các nhân viên soi kính vì khoảng cách giữa hai mặt thị kính khác nhau (xem phụ lục B về các quy trình chuẩn ô chia vạch thị kính).
4.2.4 Đánh giá tính năng của kính và người soi kính
Một điều cần thiết là các phòng thí nghiệm làm theo phương pháp này phải duy trì sự liên hệ với các nơi có kinh nghiệm về vấn đề này. Như đã đề cập ở phần 4.2.1, một phiến kính kiểm tra giới hạn phát hiện có sẵn sẽ hỗ trợ trong việc đánh giá công việc của người soi kính và tính năng kính hiển vi theo quy định. Phải đạt được giới hạn phát hiện thực tế tương ứng với lô số 5 của phiên bản kiểm tra HSE/NPL mark II (xem phần phụ lục C về phương pháp sử dụng và nhà cung cấp). Trao đổi các phiến kính kính hiển vi với các phòng thí nghiệm có kinh nghiệm để so sánh sẽ giúp đảm bảo rằng các kết quả thu được có giá trị.
4.3 Đếm và đo kích thước các sợi
4.3.1 Soi quét công suất thấp
Soi quét toàn bộ diện tích giấy lọc với tổng độ phóng đại ì100 tới ì150 lần (nghĩa là vật kính ì10).
Phần biên thường bị che bởi vòng đệm giữ giấy lọc phải không có bụi và sợi. Tất cả các trường nhìn phải có hình dạng giống nhau về mặt tổng sức tải bụi. Nếu các trường được quan sát chỉ ra sự khác nhau đáng kể về sức tải hoặc tập hợp thành khối sợi hoặc bụi thì giấy lọc này phải được loại bỏ .
4.3.2 Chọn trường đếm
Sau khi soi ở độ phóng đại thấp đạt được rồi, phải thay vật kính sang pha ì40 và hội tụ vào mặt phẳng chứa bụi.
Phải đảm bảo rằng các vòng pha vẫn đồng tâm. Mặc dù hầu hết các sợi và bụi sẽ được nhìn thấy ở mặt trên của giấy lọc, nhưng nó vẫn cần thiết hôị tụ ở dưới (tới 10 μm) và phía trên của bề mặt dưới một tí.
Khi đếm và đo kích thước cần phải thường xuyên sử dụng hội tụ tinh do chiều sâu nhỏ của trường vật kính x40 (2-3 μm). Các trường đếm phải chọn ngẫu nhiên qua toàn bộ diện tích của giấy lọc hoặc một phần giấy lọc. Nếu đường lưới của giấy lọc cản trở việc nhìn thì chuyển giá tới trường khác. Không đếm các trường nằm ở cách rìa mép giấy lọc 3 mm hoặc ở cách bất kỳ đường cắt nào 2 mm .
4.3.3 Điều kiện làm việc của phòng thí nghiệm
Thực tế làm việc và môi trường làm việc trong một phòng thí nghiệm có thể ảnh hưởng một cách có hệ thống tới mức độ tin cậy của công việc đếm lúc đó. Điều này phải được kiểm soát bằng chương trình bảo đảm chất lượng.
Một vài sự khác nhau có thể xảy ra khi tiến hành so sánh trong phòng thí nghiệm thì thấy chỉ là do khác nhau về điều kiện chiếu sáng của phòng thí nghiệm, khác nhau về chỗ ngồi, về sắp xếp máy tính... Các cách ghi dữ liệu khác nhau cũng có thể gây ra một vài sự bất đồng giữa những người đếm vì mức độ mỏi thị lực.
Viết chi tiết dữ liệu liên quan đến sự hội tụ lại của mắt sau khi xem từng trường đếm, trái lại việc ghi liên tục nhờ máy đếm cơ hoặc điện chỉ đòi hỏi sự tập trung liên tục của một chu kỳ.
4.3.4 Các chuẩn cứ để đếm
a) Chọn các trường
Các diện tích ô chia vạch để đếm phải được chọn ngẫu nhiên sao cho chúng đại diện cho toàn bộ diện tích tiếp xúc của giấy lọc và không được chồng chéo.
Một phương pháp là di chuyển ngang qua giấy lọc theo những đường được chọn ngẫu nhiên để chọn các trường ngẫu nhiên.
b) Loại bỏ các trường
Các ô chia vạch mà có các đường lưới thì phải loại bỏ. Nếu hơn 1/8 ô chia vạch bị che bởi các đám sợi và/hoặc hạt thì trường đếm đó phải bỏ và chọn trường khác. Những việc xảy ra như vậy phải ghi lại.
c) Số lượng các sợi và/hoặc các trường được đánh giá ít nhất 100 sợi phải được đếm với mức tối thiểu 20 ô chia vạch được đánh giá. Không cần thiết đánh giá hơn 100 ô chia vạch.
d) Một sợi được đếm được định nghĩa là vật bất kỳ có đường kính tối đa nhỏ hơn 3àm và độ dài toàn bộ lớn hơn 5 àm và tỷ lệ chiều dài/đường kính lớn hơn 3/1 và không quan tâm đến bất cứ hạt nào có đường kính tối đa lớn hơn 3 àm. Các bức tranh phù hợp đáp ứng các tiêu chuẩn d) với g) được trình bày ở phần [2].
e) Một sợi có thể được đếm là sợi có hai đầu nằm trong ô chia vạch và sẽ đếm là một sợi; một sợi chỉ có một đầu ở trong ô chia vạch được tính là 1/2 sợi.
Một nhóm sợi mà ở một hoặc nhiều điểm trên chiều dài của nó không bị chia nhưng ở những điểm khác bị chia thành các nhánh riêng biệt thì được coi là sợi chẻ. Bất cứ khối nào khác mà trong đó cái sợi tiếp xúc hoặc vắt ngang qua nhau được coi là một bó chùm.
f) Một sợi chẻ được đánh giá như là sợi đơn có thể đếm được nếu nó đáp ứng định nghĩa trong phần d), đường kính được đo ngang qua phần lớn nhất không bị chia và không phải là qua phần chẻ.
g) Các sợi trong một chùm (bó) được đánh giá riêng nếu chúng có thể đủ phân biệt để xác định rằng chúng đáp ứng định nghĩa trong phần d). Nếu không có sợi nào riêng biệt đáp ứng định nghĩa này thì chùm được đánh giá là một sợi nếu nó đáp ứng đầy đủ định nghĩa.
4.4 Tính toán nồng độ sợi
4.4.1 Các giá trị đơn
Nồng độ sợi là c, tính bằng số sợi/cm3, đối với mỗi thời gian lấy mẫu đơn được xác định theo công thức sau :

trong đó :
A là diện tích hiệu dụng của giấy lọc, tính bằng milimét vuông (xem phụ lục F);
a là diện tích ô chia vạch đếm, tính bằng milimét vuông (xem phụ lục B);
N là tổng số sợi đếm được;
n là số ô chia vạch đã quan sát (đã soi);
r là tốc độ dòng không khí qua giấy lọc, tính bằng centimét khối trên phút;
t là thời gian lấy mẫu đơn, tính bằng phút. Phần phụ lục J chỉ ra ví dụ về ghi chép công việc đếm.
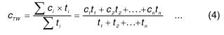
4.4.2 Các giá trị trung bình trọng lượng theo thời gian
Khi một vài mẫu được lấy với thời gian lấy mẫu khác nhau thì tính nồng độ trung bình trọng lượng theo thời gian. cTW ,tính bằng sợi trên centimét khối, từ các giá trị đơn như sau :

trong đó :
ci là giá trị đơn của nồng độ tính bằng sợi trên centimét khối;
ti là thời gian lấy mẫu đơn tính bằng phút;
n là tổng số mẫu.
Nếu thời gian lấy mẫu đơn, ti, ở trên coi như nhau thì phương trình (4) có thể đơn giản hoá như sau :

5.1 Khái quát
Các sai số đưa vào ước lượng sợi trong không khí bao gồm sai số phân tích và lấy mẫu, mỗi một loại lại có sai số ngẫu nhiên và sai số hệ thống. áp dụng các quy trình chuẩn và công việc lặp lại hàng ngày là cách duy nhất để khống chế hầu hết các nguồn sai số cố hữu trong phương pháp lọc màng. Danh mục sau đây mô tả một vài nguồn sai số thông thường.
5.2 Sai số hệ thống
5.2.1 Lấy mẫu
_ Tốc độ dòng;
_ Thời gian lấy mẫu;
_ Lấy mẫu không đại diện hoặc sai lệch;
_ Nhiễm bẩn, biết rõ hoặc vô tình.
5.2.2 Phân tích
_ Diện tích giấy lọc hiệu dụng;
_ Diện tích đếm;
_ Chuẩn cứ đếm;
_ Gắn giấy lọc;
_ Sai lệch do người đếm;
_ Kính hiển vi;
_ Nhiễm bẩn.
5.3 Sai số ngẫu nhiên
5.3.1 Lấy mẫu
_ Thay đổi tốc độ dòng;
_ Thăng giáng ngẫu nhiên của đám bụi di chuyển trong không khí.
5.3.2 Phân tích
_ Sự không ổn định của người đếm;
_ Phân bố sợi trên giấy lọc. Sự lắng đọng không ngẫu nhiên của bụi trên giấy lọc dẫn tới sai số thô, độ lớn của nó không thể ước tính được. Hai mươi trường đếm hoặc nhiều hơn phải được đếm để đảm bảo rằng sự sai lệch nhỏ hơn so với tính ngẫu nhiên không làm chệch kết quả;
_ Phân bố Poisson. Vì chỉ những mẫu nhỏ của sợi bị lắng đọng trên giấy lọc được đếm nên sai số nảy sinh ra khi ước lượng tổng số sợi trên cả bề mặt giấy lọc. Về mặt lý thuyết, phân bố Poisson xác định sự biến thiên trong đếm sợi sinh ra từ sự quan sát các trường đếm được lựa chọn ngẫu nhiên trên giấy lọc. Nếu tối thiểu 100 sợi được đếm và nếu phân bố Poisson phù hợp với kết quả đếm thì độ lệch chuẩn tương đối của việc đếm sợi là ± 10 %. Nó đã được chứng minh bằng thực nghiệm rằng độ phân bố thực tế của phép đếm sợi có thể lệch khỏi phân bố Poisson, trong trường hợp này độ lệch chuẩn có thể lớn hơn.
5.4 Độ đúng toàn bộ
Vì bản chất của phương pháp lọc màng, nó không có khả năng biết được nồng độ thực của sợi trong không khí của đám bụi xác định. Vì lý do này, nó không thể đánh giá độ đúng thích hợp của phương pháp. Ngay cả độ chính xác (hoặc độ lặp lại) của phương pháp cũng khó định lượng bởi vì các sai số hệ thống bên trong và bên ngoài phòng thí nghiệm có xu hướng nảy sinh. Bằng cách chọn lựa ngẫu nhiên người quan sát kính và các phòng thí nghiệm, những sai số hệ thống này mang bản chất ngẫu nhiên do vậy nó có thể đưa ra những đánh giá về độ chính xác thực nghiệm (nghĩa là sự tiếp cận gần nhất có thể tới sự tuyên bố độ đúng cho một phương pháp có các giá trị "thực" không biết).
Đã thực hiện rất nhiều việc cùng với sự cố gắng để đạt được sự ước tính này, và cho đến nay chỉ đạt được những kết luận từng phần. Một trong những kết luận này là sự phân bố Poisson lý thuyết (xem 5.3.2) với ± 95 % độ tin cậy khoảng dao động ± 20 % cho tổng số 100 sợi được đếm, hoặc khoảng ±35% cho 40 sợi được đếm trong 100 ô chia vạch.
Các nguyên nhân khác của sai số hệ thống và ngẫu nhiên bổ sung thêm đáng kể vào tính không chắc chắn trong việc ước tính nồng độ sợi trong không khí.
5.5 Trình bày kết quả
Hiện nay không có đủ thông tin cần thiết để xác định mức độ nào thì độ tin cậy của phương pháp trở nên kém đến mức các kết quả ít có ý nghĩa. Rõ ràng rằng, đây không phải là giá trị đơn mà sẽ là một dãy giá trị ít ra là phụ thuộc vào nồng độ sợi tuyệt đối và nồng độ liên quan tới bụi khác. Dường như có một quy ước chung trong những người có kinh nghiệm trong lĩnh vực này là : Những giới hạn này nằm ở nơi nào đó trong khoảng 0,1 sợi/cm3 tới 0,5 sợi/cm3 tuỳ thuộc vào các điều kiện khác nhau.
Xét về tình trạng này và tính thay đổi cố hữu của phương pháp, nên tất cả các giá trị được tính toán mà nhỏ hơn 0,1 sợi/cm3 thường được thông báo là "nhỏ hơn 0,1 sợi/cm3". Các giá trị cao hơn cần được làm tròn đến 1 số thập phân, và đến 2 số có nghĩa.
Báo cáo kết quả cần gồm thông tin sau :
a) trích dẫn tiêu chuẩn này;
b) số xác định mẫu;
c) bắt đầu và kết thúc thời gian lấy mẫu;
d) tốc độ dòng trong khi lấy mẫu;
e) loại mẫu : mẫu cá nhân hoặc mẫu tĩnh;
f) mô tả vị trí lấy mẫu;
g) các kết quả;
h) mọi sai khác so với quá trình lấy mẫu và phân tích;
i) các thông tin khác liên quan đến phương pháp. Ví dụ về hồ sơ lấy mẫu chỉ ra trong phụ lục G.
(Quy định)
QUI TRÌNH GẮN AXÊTÔN - TRIAXÊTIN
Sau đây là mô tả qui trình để gắn giấy lọc màng. Thiết bị sử dụng phần lớn có sẵn trong các phòng thí nghiệm hoá học. Các phương pháp khác dùng các thiết bị có sẵn trên thị trường có thể được sử dụng khi chúng làm ra các mẫu có cùng chất lượng (hoặc tốt hơn). Xử lý axêtôn đòi hỏi phải rất thận trọng để tránh tai nạn. Ngay cả bây giờ khi các thiết bị an toàn hơn đang được triển khai. Chúng có thể được sử dụng miễn là có thể thu được chất lượng tiêu bản như nhau (không rửa mất sợi, bề mặt nhẵn, nền rõ).
Cảnh báo:
Việc gắn axêtôn chỉ được thực hiện trong tủ hốt hoặc chụp hút. Không làm gần nguồn lửa trần. Chỉ cần một số lượng nhỏ axêtôn. Đun nóng bằng bình đun cách thuỷ là phù hợp; nên cho hạt chống trào vào axêtôn.
Như đã minh hoạ trong hình A1 nên dùng cột ngưng tụ đơn giản để đảm bảo rằng hơi axêtôn thoát ra ngoài là tối thiểu. Lỗ thoát trong vòi phải có đường kính ít nhất là 8mm, nếu không, hơi axêtôn không thể thoát ra đủ lượng khi dùng một cột ngưng tụ mở. Khi không sử dụng thiết bị, phải đóng lỗ ra của hơi axêtôn.
Đun nóng axêtôn tới sôi đợi đến khi một lượng vừa phải hơi axêtôn xuất hiện từ lỗ thoát.
Đặt giấy lọc, mặt bụi phía trên lên một phiến kính hiển vi sạch ở nhiệt độ phòng. Lực tĩnh điện thường giữ giấy lọc trên phiến kính.
Đảm bảo rằng axêtôn lỏng không nhỏ giọt lên giấy lọc (bằng cách lau lỗ thoát định kỳ với miếng vải mỏng) giữ tiêu bản bằng kẹp sạch đặt trực tiếp trong dòng hơi axêtôn cách lỗ thoát từ 15 mm - 25 mm trong vòng 3 - 5 s. Đồng thời di chuyển giấy lọc từ từ ngay qua lỗ thoát để đảm bảo rằng hơi axêtôn trùm lên đêù cho đến khi giấy lọc chuyển sang trong suốt. Quá ít hơi axêtôn sẽ không làm cho giấy lọc trong suốt, ngược lại quá nhiều hơi axêtôn (đặc biệt là những giọt axêtôn lỏng) sẽ phá hỏng giấy lọc do hoà tan hoặc làm co rút giấy lọc không sử dụng được. Không cần làm nóng phiến kính lên trước vì nó cần phải để cho hơi axêtôn ngưng tụ trên phiến kính để việc làm trong được chính xác.
Sử dụng một bơm tiêm dưới da có kim cỡ 22 hoặc loại micropipet dùng một lần, nhỏ 1-3 giọt glyxêrol triaxêtrat (triaxêtin) lên phần giấy lọc đã làm trong bằng axêtôn. Để tránh tình trạng tạo "da" trên triaxêtin đặt ngay một lamen kính sạch xuống triaxêtin ở một cạnh (xem hình A.2). Lamen kính không được ép lên màng.
Quá nhiều triaxêtin (như đã chỉ ra là chất lỏng thừa tràn ra từ phía cạnh của lamen kính) rốt cục có thể gây ra mép ngoài của giấy lọc bị vỡ ra đến mức độ nào đó. Thiếu triaxêtin sẽ sinh ra sự làm trong không đều của những phần hạt còn lại từ phần làm trong của hơi axêtôn. Hơn nữa, chỉ số khúc xạ của mẫu được gắn sẽ không phù hợp với khả năng nhìn tối ưu đối với một số các sợi mịn (xem 1.2).
Việc làm nóng giấy lọc đã được làm trong tới xấp xỉ 50 oC trong 15 phút đẩy nhanh quá trình làm trong và cho phép phân tích tiến hành ngay sau đó. Mặt khác cần hoãn việc đếm lại khoảng 24 giờ cho đến khi toàn bộ giấy lọc bị hoà tan dưới tác động của triaxêtin. Sản phẩm cuối cùng sẽ bền vững.
Cạnh của lamen kính có thể được gắn kín bằng sơn bóng (ví dụ thuốc đánh bóng móng (tay, chân)) nếu tiêu bản được giữ không thời hạn.

Hình A.1 - Cột ngưng

Hình A.2 - Đặt lamen
(Quy định)
Ô CHIA VẠCH THỊ KÍNH (EYEPIECE GRATICULE)
B. 1 Đặc trưng kỹ thuật của ô chia vạch thị kính, thông tin đặt hàng và hiệu chuẩn ô chia vạch mô tả trong phương pháp này là loại G22 "Walton/ Beckett".
Đối với mỗi loại ô chia vạch, cả đường kính yêu cầu, d, của vòng tròn là 100 àm ± 2 àm trong mặt phẳng vật thể của ô chia vạch và đường kính D của ô chia vạch và đường kính toàn bộ cuả đĩa thuỷ tinh phải được qui định bằng mm trước khi đặt hàng.
Qui trình sau đây là một trong một vài phương pháp để xác định đường kính d của vòng tròn để đếm.
a) Đưa một ô chia vạch bất kỳ có sẵn vào thị kính và điều chỉnh tiêu điểm sao cho đường lưới của graticule là rõ nét ở tiêu điểm;
b) Đặt khoảng cách giữa các thị kính cho phù hợp và nếu có thể điều chỉnh lại đầu thị kính sao cho chiều dài "ống" (và do đó độ phóng đại) không đổi;
c) Đảm bảo là đã đặt vật kính pha x 40 và vị trí thay đổi độ phóng đại (nếu sử dụng) được biết và ghi lại;
d) Đặt thước micromet lên giá vật kính hiển vi và hội tụ kính hiển vi lên các đường chia vạch;
e) Đo toàn bộ chiều dài để đo vật thể, lo , của lưới ô chia vạch dùng thước đo micromet gắn ở giá;
f) Nhấc graticule ra khỏi kính hiển vi và đo chiều dài thực toàn bộ lưới vạch của graticule la, điều này có thể làm bằng cách dùng một giá có gắn một du xích (thước chạy);
g) Tính đường kính được mô tả, d, dùng phương trình sau.

Ví dụ
Bước e) cho ra chiều dài của ô chia vạch là 108 μm;
Bước f) cho ra chiều dài thực là 4,50 mm
Bước g) cho ra đường kính là
(4,50/0,108) x 0,1 = 4,17 mm
Cũng cần đo đường kính ngoài của đĩa thuỷ tinh.
Trong trường hợp này đường kính của đĩa là 17 mm. Do vậy ô chia vạch Walton/Beckett có đường kính đĩa thuỷ tinh 17 mm và đường kính vòng tròn 4,17 mm phải được qui định cho ví dụ trên.
B. 2 Hiệu chuẩn các ô chia vạch của thị kính
Lấy một thước micromet có độ chia vạch thích hợp là 2 àm hoặc 10 àm và đặt lên giá để vật kính của kính hiển vi.
Đảm bảo rằng khoảng cách giữa các thị kính được đặt đúng.
Ghi lại độ phóng đại của vật kính và bất kỳ độ phóng đại trung gian nào đã dùng. Chỉnh tiêu điểm kính hiển vi vào vạch chia của micromet.
Đặt ô chia vạch thị kính có chia vạch đều lên thước micromet sao cho toàn bộ số vạch chia của thước micromet có thể đếm từ một đầu thang chia độ của ô chia vạch thị kính cho tới đầu kia. Nếu thước vẫn nhỏ hơn toàn bộ vạch chia thì xác định phần này tới đầu gần nhất của thước micromet và cộng thêm phần này vào toàn bộ số vạch chia toàn bộ của thước micromet và sau đó chuyển thành micromet. Kết quả tổng cộng này là kích thước dự tính hoặc là kích thước dùng để đo mẫu vật của ô chia vạch thị kính.
Ví dụ:
a) Một thước micromet có chia vạch 10 àm được đặt lên giá của kính hiển vi;
b) Sơ đồ ở hình B.1 vẽ trường nhìn của ô chia vạch thị kính đặt ở bên trên và thước micromet ở bên dưới; Lưu ý rằng toàn bộ 10 vạch trải qua ô chia vạch, nghĩa là 10 x 10 àm.
c) Phần còn lại của vạch thứ 11 được ước tính là 1/3 của một vạch chia, nghĩa là xấp xỉ 3 àm.
Cộng các giá trị ở phần b và c với nhau sẽ có 103 àm. là kích thước để đo mẫu vật của ô chia vạch. Chú ý là nếu khoảng cách giữa hai mắt kính, vật kính, độ phóng đại trung gian hoặc nếu trong một số kính hiển vi có thị kính thay đổi thì điều này thường làm thay đổi kích thước để đo mẫu vật của ô chia vạch thị kính đo đó cần thiết hiệu chuẩn lại.
Hình B.1 - Thị kính kẻ vạch ô và giá đo micromet đặt trên cùng
(Quy định)
C. 1 Mô tả
Phiên bản kiểm tra HSE/NPL bao gồm các phiên bản epoxy đồng nhất (có chỉ số khúc xạ 1,58) của tiêu bản mẫu được sản xuất và được cấp chứng chỉ bởi phòng thí nghiệm vật lý quốc gia (Anh). Phiên bản epoxy được gắn lên thấu kính thuỷ tinh có kích thước 75 mm x 25 mm x 1,2 mm hoặc 75 mm x 25 mm x 0,8 mm và được phủ lên bằng lam kính dày 0,17 mm với một lớp keo dán khác ở giữa có chỉ số khúc xạ 1,49. Các đối tượng kiểm tra bao gồm một dãy bảy khối các đường sống có chiều dài 8,5 mm, đổ đầy keo dính có chỉ số khúc xạ 1,49 trong môi trường có chỉ số khúc xạ 1,58. Các đường sống có mặt cắt hình chữ V và có tỷ lệ chiều cao so với chiều rộng khoảng 0,1. Các khối được phân tách ra bởi các khe rộng 20 àm. Một bộ 4 đường sống đánh dấu sâu được đặt ở hai đầu của dãy và hai bộ 2 đường sống đánh dấu đặt cách nhau một khoảng là 120 àm cắt ngang vùng góc với dãy. Vùng của các vật kiểm tra sẽ được sử dụng được mô tả bằng hình chữ nhật bao quanh bởi các đường sống đánh dấu này. Vùng này có thể dễ dàng xác định đúng vị trí như trường nhìn đã thấy và được khắc lên lam kính. Điều này được minh hoạ ở hình C1. Độ rộng của đường sống trong mỗi khối và sự thay đổi pha tính được (tính bằng độ) liên quan đến hiệu của đường đi cực đại của tia sáng đi qua các đối tượng kiểm tra được đưa ra ở bảng C1.
Bảng C1 - Độ rộng của các đối tượng kiểm tra và sự thay đổi pha tối đa tính được gây ra do các tia sáng xuyên qua đối tượng kiểm tra của phiên bản kiểm tra HSE/NPL
|
Khối số |
Độ rộng đường sống μm |
Thay đổi pha tối đa tính được với tia sáng1) xuyên qua đối tượng kiểm tra (tính bằng độ) |
|
1 2 3 4 5 6 7 |
1,08 0,77 0,64 0,53 0,44 0,36 0,25 |
6,6 4,7 3,9 3,2 2,7 2,2 1,5 |
|
1) Chiều dài sóng : 530 nm |
||
C. 2 Phương pháp sử dụng
Lắp kính hiển vi phản pha như đã khuyến nghị cho phương pháp giấy lọc màng (xem phần 4.2.1).
Định vị khối 1 (bộ thô nhất xem bảng C1) của đối tượng kiểm tra và di chuyển phiến kính để quan sát khôí bên cạnh.
Xác định khối có đường sống nhỏ nhất có thể phân biệt được.
Không chắc chắn rằng cả 7 khối có đường sống sẽ được phát hiện hết khi dùng kỹ thuật phản pha quang học ngay cả khi có kính hiển vi nghiên cứu tốt nhất. Trên cơ sở của các thông tin hiện nay thì một hệ thống phát hiện được khối 5 là phù hợp.

Hình C.1 - Phiên bản kiểm tra HSE/NPL
(Tham khảo)
CÁC VÍ DỤ VỀ CHƯƠNG TRÌNH LẤY MẪU
D. 1 Thuật ngữ
D.1.1 Lấy mẫu nghề nghiệp: Lấy mẫu được tiến hành sao cho các kết quả là đại diện cho sự tiếp xúc của người công nhân với sợi trong điều kiện làm việc đặc trưng suốt cả ca làm việc.
Qui trình lấy mẫu không bị nhiễu do các hoạt động của người công nhân.
D.1.2 Vùng thở của công nhân: Gồm hình bán cầu có bán kính 300mm chùm phía trước mặt và được đo từ điểm giữa của đường nối hai tai. Để đánh giá mức tiếp xúc của công nhân, phải lấy mẫu ở trong vùng thở của công nhân.
D.1.3 Mẫu cá nhân: Mẫu được lấy trong vùng thở của công nhân. Thông thường giấy lọc được gắn vào cổ áo của áo công nhân với nắp hướng xuống dưới. Người công nhân mang bơm trên đai lưng hoặc đặt trong túi.
D.1.4 Mẫu tĩnh: Mẫu được lấy ở các vị trí cố định có nắp hướng xuống dưới. Những mẫu này không nên dùng để đo sự tiếp xúc nghề nghiệp cá nhân.
Các nguồn điểm tạo nên sự biến thiên nồng độ đáng kể, do vậy gây ra các kết quả của mẫu tĩnh thay đổi đáng kể ở các khoảng cách ngắn. Tuy nhiên lấy mẫu tĩnh có thể có ích nếu bụi này đã được biết là được phân bố đều trên diện tích lớn.
D.1.5 Thời gian lấy mẫu đơn: thời gian thực tế trong đó một mẫu đơn đã được lấy.
D.1.6 Tổng số thời gian lấy mẫu: Tổng số các thời gian tiến hành lấy mẫu đơn trong một ca trên một người (xem D. 2.3)
D.1.7 Mẫu ngắn hạn: Lấy mẫu với thời gian lấy mẫu đơn ít hơn 1 giờ (xem 3.8).
Mẫu ngắn hạn được định rõ bởi vì nó cần thiết đối với trường hợp đặc biệt này. Trừ khi chỉ rõ là mẫu ngắn hạn, nếu không thì thời gian lấy mẫu được hiểu ít nhất là 1 giờ.
D.2 Chương trình lấy mẫu
D.2.1 Các nguyên tắc chung
Các đo đạc tiếp xúc nghề nghiệp được thực hiện để đáp ứng cho một hoặc cả hai mục tiêu chính:
a) để đánh giá sự tiếp xúc liên quan với một tiêu chuẩn vệ sinh nghề nghiệp và để tạo điều kiện cho các biện pháp kiểm soát tốt hơn được áp dụng;
b) để đưa ra các đánh giá sự tiếp xúc trong các điều tra dịch tễ học về tỷ lệ ốm đau và tỷ lệ tử vong.
Được biết rằng các nồng độ các sợi thay đổi rất rộng cả trong phạm vi một ngày và từ ngày này sang ngày khác. Phần lớn các qui định và các tiêu chuẩn vệ sinh đòi hỏi sự đánh giá tiếp xúc tin cậy trong một ngày cụ thể.
Có ích hơn cho dịch tễ học là cố gắng mở rộng sự lấy mẫu trong một số ngày, nghĩa là nếu ít thì chỉ biết về một ngày, nếu nhiều thì biết sự tiếp xúc trung bình suốt cuộc đời làm việc. Vì sự lấy mẫu chung thường phục vụ cả 2 mục đích, các sơ đồ lấy mẫu được trình bày trong phương pháp này nhấn mạnh đến sự đánh giá trong một ngày. Cũng phải công nhận rằng các thay đổi trong thực tiễn công việc cá nhân sinh ra sự phân bố các gía trị tiếp xúc trong bất cứ nhóm công việc nào. Do đó, các dữ liệu từ một người không thể được coi là đại diện cho toàn bộ nhóm công việc. Do đó bất cứ sự thay đổi nào các dữ liệu phải được chứng minh bằng các phép đo tương đối phù hợp.
D.2.2 Sơ đồ lấy mẫu
Có một số sơ đồ lấy mẫu có thể, một số trong đó được trình bầy để hướng dẫn trong các bảng D1 và D2. Vì các sơ đồ lấy mẫu thay đổi theo mức độ hữu ích và độ chính xác trong đánh giá sự tiếp xúc. Các bảng D1 và D2 phải được giải thích liên quan với các điều kiện và sự thận trọng qui định, được trình bày ở phần D.2.3 và D.2.4.
Bảng D1 _ Sơ đồ lấy mẫu dài hạn
|
Sơ đồ lấy mẫu |
số mẫu/ca |
Tổng thời gian lấy mẫu |
|
Lấy mẫu liên tục cả ca |
||
|
Kiểu A |
2 hoặc hơn |
xấp xỉ cả cả |
|
Kiểu B |
1 |
xấp xỉ cả cả |
|
Lấy mẫu liên tục một phần của ca |
||
|
Kiểu C |
2 hoặc hơn |
2 giờ hoặc hơn |
|
Kiểu D |
1 |
1 giờ hoặc hơn |
Bảng D2 _ Sơ đồ lấy mẫu thời gian ngắn
|
Sơ đồ lấy mẫu |
số mẫu/ca |
Tổng thời gian lấy mẫu |
|
Các mẫu ngẫu nhiên |
||
|
Kiểu E |
5 hoặc nhiều hơn lấy một cách ngẫu nhiên qua một ngày làm việc |
1giờ hoặc hơn |
|
Các mẫu hệ thống |
||
|
Kiểu F |
1 mẫu hoặc nhiều hơn cộng với đo đạc tương đối liên tục 2 hoặc nhiều hơn, lấy trong mỗi giai đoạn riêng biệt của một chu kỳ hoạt động |
1 giờ hoặc hơn |
Trong khi vạch kế hoạch lấy mẫu, điều quan trọng là phải xác định:
- chu kỳ đánh giá trong đó sự tiếp xúc được đánh giá;
- tổng số thời gian lấy mẫu;
- số lượng mẫu.
Để đánh giá sự tiếp xúc suốt ca làm việc của công nhân, phải cố gắng đảm bảo rằng các mẫu liên quan tới cả ngày làm việc. Phải chú ý để đảm bảo rằng các giai đoạn lấy mẫu không bị lệch do các điều kiện bất thường.
Các mẫu thời gian ngắn phải lấy ngẫu nhiên (thống kê) qua toàn bộ ngày làm việc. Nếu các mẫu không thể chọn trong toàn bộ một ngày làm việc, thì các kết quả đo đạc chỉ đúng cho thời gian của giai đoạn mà các phép đo đã được chọn. Tuy nhiên, các phép đo tương quan và phán định nghề nghiệp tin cậy đôi khi có thể được sử dụng để tham khảo về các nồng độ trong các phần khác của ngày. Kiến thức vững của người thao tác là quan trọng khi làm các phép ngoại suy như vậy.
D.2.3 Tổng số thời gian lấy mẫu và số lượng mẫu
Thời gian lấy mẫu bị ảnh hưởng đầu tiên bởi lý do lấy mẫu, mức độ của nồng độ sợi sẽ được đo, nồng độ bụi không phải là sợi và các yêu cầu của phương pháp phân tích. Điều này có thể dẫn đến cần nhiều hơn một mẫu đơn. Tổng thời gian lấy mẫu không bao giờ ít hơn một giờ.
ở mục 3.6 và 3.8 mô tả chi tiết sức tải tối thiểu và tối đa được chấp nhận của các sợi trên giấy lọc điều khiển khoảng thời gian lấy mẫu có thể đối với các nồng độ sợi khác nhau dung dịch chuyển theo không khí. Các mẫu thời gian ngắn có thể cần thiết nếu các mức nền của hạt hoặc sợi cao vì chúng cản trở các phép phân tích chính xác hiện có.
D.2.4 Sự tin cậy của sơ đồ lấy mẫu.
Các điểm mạnh và các hạn chế chính của các sơ đồ lấy mẫu khác nhau, từ kiểu A đến F trình bầy ở bảng D1 và D2 là như sau.
D.2.4.1 Sơ đồ lấy mẫu kiểu A, 2 mẫu hoặc nhiều hơn bao trùm suốt ca làm việc.
Loại này cho phép đánh giá sự tiếp xúc tin cậy nhất. Khi lấy một vài mẫu thì trung bình của sai số thường nhỏ hơn (%) sai số đơn trong một mẫu đơn cả ca. Đôi khi các sai số thô (như tính nhầm, nhiễm bẩn, thời gian lấy mẫu không đúng,...) hầu như được phát hiện ra bởi kiểu A dễ hơn bởi kiểu B.
Chú thích 2 - Các sai số hệ thống, ví dụ, tốc độ dòng không chính xác, vẫn phải được tính đến theo cách thông thường.
D.2.4.2 Sơ đồ lấy mẫu kiểu B, lấy mẫu một ca đầy đủ.
Sơ đồ lấy mẫu này không tin cậy như loại A bởi vì các sai số thô có thể không phát hiện thấy trừ khi bằng chứng từ các mẫu lấy trước đó có sẵn để làm cơ sở xét đoán.
D.2.4.3 Sơ đồ lấy mẫu kiểu C, hai mẫu hoặc nhiều hơn lấy trong thời gian một phần của một ca làm việc. Nghĩa là 2 giờ hoặc nhiều hơn hai giờ nhưng ít hơn 1 ca. Điều này có thể thoả mãn nếu từng phần của ca đại diện cho cả ca.
D.2.4.4 Sơ đồ lấy mẫu kiểu D, một mẫu, 1 giờ hoặc lâu hơn nhưng ít hơn 1 ca.
Sơ đồ lấy mẫu này tương tự như kiểu C ngoại trừ các sai số thô có thể không phát hiện thấy.
D.2.4.5 Sơ đồ lấy mẫu kiểu E, lấy 5 mẫu thời gian ngắn một cách ngẫu nhiên qua một ca.
Sơ đồ này có thể đưa ra một chỉ số tiếp xúc có thể chấp nhận được nhưng nói chung là lãng phí nguồn lực và độ chính xác kém nhất so với các sơ đồ trên. Chú ý rằng ngay cả kết quả đánh giá kém hơn khi nồng độ bụi "trung bình" tăng lên hoặc giảm xuống đáng kể trong ngày. Sơ đồ này phải được áp dụng một cách thận trọng.
D.2.4.6 Sơ đồ lấy mẫu kiểu F, một vài mẫu hệ thống thời gian ngắn lấy trong mỗi giai đoạn riêng biệt của công việc.
Sơ đồ này được các nhà vệ sinh công nghiệp có kinh nghiệm sử dụng để mô tả đặc điểm nơi làm việc. Cách tiếp cận này không được sử dụng một cách bất cẩn, đặc biệt với những người không quen thuộc với quá trình. Sơ đồ này cũng không được sử dụng để đánh giá sự tiếp xúc trung bình trọng lượng thời gian trừ khi các kết quả được kiểm tra bằng các phép đo tương quan liên tục hoặc các phương pháp khác (xem phần D.2.2).
(Tham khảo)
HIỆU CHUẨN VÀ HIỆU CHỈNH TỐC ĐỘ DÒNG
E.1 Tổng quát
Lưu lượng kế bên trong và bên ngoài phải được hiệu chuẩn với thiết bị hiệu chuẩn cơ bản. Một phương pháp chuẩn lưu lượng kế thông thường được dùng cho vùng có nồng độ sợi thay đổi (ví dụ như lưu lượng kế quay) thì sử dụng một lưu lượng kế màng xà phòng được mô tả trong phần phụ lục này.
E.2 Qui trình
Chọn một buret chính xác (hoặc dụng cụ tương tự) có dung tích 300 - 1000 cm3. Lắp một ống vào đáy của burett sau đó kẹp vào giá ở tư thế quay ngược xuống theo phương thẳng đứng.
Lắp bơm lấy mẫu có gắn ống nối, bầu lọc và giấy lọc như sử dụng ngoài hiện trường.
Nối với một lưu lượng kế màng xà phòng. Phải đảm bảo rằng hệ thống không bị hở. Nên tráng buret cẩn thận trong nước ngay trước khi kiểm tra. Điều này loại bỏ xà phòng tích tụ và cũng giúp làm ướt thành trong của buret.
Bật máy bơm và điều chỉnh tốc độ dòng tuỳ theo lưu lượng kế bên trong (nếu được gắn).
Đổ một ít nước vào cái cốc hoặc đĩa petri có thêm một ít xà phòng để tạo bong bóng.
Ngay khi đặt cốc chạm đáy của lưu lượng kế bong bóng xà phòng thì tạo ra một bọt sẽ di chuyển suốt chiều dài của buret mà không vỡ.
Dùng đồng hồ bấm giây, đo chính xác thời gian cần thiết để bong bóng đi qua ống 2 vị trí đánh dấu. Lặp lại hai bước cuối cùng ít nhất 2 lần cho đến khi đạt được độ lặp lại thời gian tốt nhất.
Tính trung bình thời gian và tính tốc độ dòng thể tích qc bằng centimet khối trên phút trong điều kiện hiệu chuẩn phù hợp với điều kiện lấy mẫu, như sau.

trong đó
V là thể tích của buret tính bằng centimet khối;
t là thời gian trung bình để cho bong bóng di chuyển qua ống, tính bằng phút.
Lặp lại 9 bước đầu của qui trình và tính toán cho đến khi tốc độ dòng mong muốn đã đạt được trong phạm vi 5%.
Chú thích 3 - Về mặt lý thuyết hàm lượng hơi nước của không khí trong lưu lượng kế màng xà phòng phải được tính đến khi xác định tốc độ dòng "thực". Tuy nhiên, với mục đích thực tiễn, độ đúng có thể chấp nhận được vẫn đảm bảo mà không cần sự hiệu chỉnh này.
Nếu lưu lượng kế có vùng biến thiên ở bên ngoài hoặc ở trong được sử dụng trong điều kiện nhiệt độ khác với điều kiện trong lúc hiệu chuẩn thì nói chung không thể tính được sự sai khác về tốc độ dòng (điều này chắc chắn xảy ra).
Vì tất cả các phép đo lấy mẫu không khí đều chỉ quan tâm đến tốc độ dòng thể tích khí (nghĩa là tốc độ dòng được đo và được biểu diễn ở nhiệt độ và áp suất hiện tại) và không phải là tốc độ dòng khối lượng (nghĩa là tốc độ dòng được điều chỉnh với điều kiện nhiệt độ và áp suất chuẩn), sự hiệu chuẩn lại tốc độ dòng của bơm là cần thiết nếu nó hoạt động trong điều kiện khác đáng kể với điều kiện khi hiệu chuẩn. "Đáng kể" ngụ ý sự khác nhau ở độ cao lớn hơn 500 m hoặc nhiệt độ 15 oC so sánh riêng với các điều kiện khi hiệu chuẩn.
Ví dụ : Trong khi chuẩn bơm có lưu lượng kế bên trong, một lưu lượng kế bọt xà phòng có thể tích 1000 cm3 mất trung bình là 63,4 s để cho bong bóng di chuyển hết chiều dài buret. Tốc độ dòng trong điều kiện này là bao nhiêu? Sử dụng phương trình (E.1):


Hình E.1 - Máy hiệu chuẩn tốc độ dòng
(Tham khảo)
ĐO DIỆN TÍCH GIẤY LỌC BỊ TIẾP XÚC
Phụ lục này mô tả một cách thích hợp để xác định diện tích của phần lắng đọng bụi (nghĩa là diện tích giấy lọc bị tiếp xúc).
Bỏ một ít bụi mịn có mầu tối (ví dụ bồ hóng, xi măng hoặc bụi đường) vào trong bình chứa dung tích 2 lít đến 5 lít có nắp.
Lắc bình chứa bụi, tháo bỏ nắp đậy và hút không khí qua giấy lọc màng và bầu lọc cho đến khi bụi trong bình tạo nên vùng lắng đọng rõ rệt trên giấy lọc.
Lấy giấy lọc ra khỏi bầu lọc và gắn lên trên phiến kính hiển vi như đã mô tả trong phụ lục A.
Đo ít nhất 4 đường kính khác nhau của đốm bụi thu được cho đến 0,2 mm. Trong các phương pháp khác, phép đo bằng vi chiếu hoặc sử dụng một du xích (hoặc thước chạy) của giá đặt vật của kính hiển vi cũng phù hợp.
Miễn là các đường kính đo được khác nhau không hơn 1mm, trung bình số học đơn giản là đủ để có được một xác định đúng đường kính giấy lọc bị tiếp xúc.
ít nhất phải chuẩn bị 3 giấy lọc riêng biệt và tính diện tích trung bình miễn là 3 đường kính giấy lọc khác nhau không quá 1mm. Tính trung bình số học và diện tích được tính theo cách thông thường. Phần diện tích này là diện tích giấy lọc bị tiếp xúc được sử dụng sau này để tính toán trong phương pháp này.
Nếu các đường kính giấy lọc đo được khác nhau lớn hơn 1mm phải rất chú ý việc lấy mẫu bụi hoặc kỹ thuật làm trong giấy lọc.
Cần lặp lại phép đo diện tích hiệu dụng của giấy lọc nếu kiểu giấy lọc hoặc bầu lọc hoặc bất cứ khía cạnh nào liên quan tới sự làm trong giấy lọc bị thay đổi.
Nên lặp lại toàn bộ qui trình đo 12 tháng một lần để đảm bảo rằng diện tích hiệu dụng của cái lọc đã biết là đúng.
(Tham khảo)
Tất cả dữ liệu cần thiết để xác định nồng độ sợi phải được ghi vào hồ sơ lấy mẫu. Hơn nữa tất cả các dữ liệu có sẵn có thể có ích cho các nghiên cứu dịch tễ học cũng phải ghi vào hồ sơ.
G.1 Các chi tiết về lấy mẫu.
Kiểu dụng cụ và số hiệu.
Tốc độ dòng, ban đầu, khoảng giữa, cuối cùng.
Thời gian.
Sơ đồ lấy mẫu đã được dùng.
Ngày, giờ.
Người lấy mẫu.
G. 2 Các chi tiết về nơi lấy mẫu
Nơi đến.
Các chất độc hại.
Loại amiăng, thạch anh, ...
Mô tả ngắn gọn quá trình làm việc.
Các thông số biến thiên có thể làm ảnh hưởng lên sự hình thành bụi. Thực tế công việc:
- các điều kiện làm việc :
+ bình thường;
+ không bình thường.
- vật liệu :
+ loại;
+ kích cỡ;
+ các điều kiện , ...
- dòng khí :
+ công nhân ở dòng khí có bụi, có/không;
+ ảnh hưởng rõ ràng đến các nơi làm việc bên cạnh. Các phương pháp kiểm soát bụi
- thông gió hút;
- các phương pháp khác;
- ấn tượng nhìn thấy.
Số công nhân mà giá trị đo là đại diện.
Phương tiện phòng hộ cá nhân có/không, chủng loại
Số giờ/ca.
Số ngày/tuần.
Một ví dụ về hồ sơ lấy mẫu bụi như sau đây:

(Tham khảo)
QUI TRÌNH ĐIỀU CHỈNH KÍNH HIỂN VI
Phải sử dụng thiết bị kính hiển vi phản pha chất lượng tốt như đã mô tả chi tiết trong 4.2.1. Thiết bị phải được bảo dưỡng trong diều kiện tốt nhất và phần lớn các nhà sản xuất đều thực hiện dịch vụ bảo dưỡng hàng ngày bao gồm tháo dỡ và làm sạch tất cả các bộ phận quang học và thay thế cơ cấu đo đạc bị hỏng. Phải sử dụng các dịch vụ này trừ khi nhân viên soi kính của phòng thí nghiệm có các kỹ năng về dịch vụ bảo dưỡng.
Nói chung qui trình đặt ra sau đây phải được thực hiện để thu được sự chiếu sáng Kohler và các điều kiện tương phản tốt. Tuy nhiên các chi tiết có thể thay đổi tuỳ theo hướng dẫn của nhà sản xuất và chủng loại thiết bị.
a) Đặt tiêu bản có mẫu vật là giấy lọc màng lên giá kính hiển vi;
b) Mở cả màng chắn nguồn sáng (thường nói đến là vòng chỉnh trường sáng) và màng chắn tụ quang ở dưới giá;
Chú thích 4 - ở giá này không được lồng các bộ triệt pha vào. Vòng triệt pha thường được đặt trong một trống quay được gắn vào bộ tụ quang dưới giá.
c) Nâng tụ quang tới giới hạn trên của nó, thường khoảng 1mm từ mặt dưới của tiêu bản mẫu vật;
d) Sử dụng mức độ chiếu sáng phù hợp và vật kính x 10, hội tụ vào mẫu vật;
e) Đóng màng chắn nguồn sáng và hội tụ nguồn sáng vào trường nhìn bằng cách nâng lên hoặc hạ xuống tụ quang. Chỉnh tâm màng chắn và mở lại màng chắn để chiếu sáng toàn bộ trường nhìn;
f) Quan sát mặt phẳng tiêu điểm phía sau của kính vật, sử dụng hoặc thấu kính Bernand gắn với thân kính hiển vi hoặc tháo thị kính và dùng kính viễn vọng phụ;
g) Quan sát hình ảnh của bóng đèn (bỏ đĩa khuếch tán nếu nó được gắn vào kính) và tập trung vào dây tóc bóng đèn, hội tụ vào bóng đèn nếu có thể bằng nút điều chỉnh. Hình ảnh của dây tóc bóng đèn phải choán đầy mặt phẳng hội tụ phía sau của kính vật. Lồng lại đĩa khuyếch tán nếu phù hợp;
Chú thích 5 - Nếu bóng đèn không thể hội tụ được thì điều chỉnh để có chiếu sáng đồng nhất.
h) Lồng vòng triệt pha đúng vào hệ thống tụ quang và định tâm hệ thống này bằng cách dùng các vít điêù chỉnh thích hợp để cho đĩa pha ở kính vật và hình ảnh của vòng triệt pha trùng hợp một cách chính xác. Nếu cần thiết, thì điều chỉnh nhẹ nhàng sự hội tụ của tụ quang. Đảm bảo rằng hình ảnh vòng sáng không rộng hơn vòng pha;
i) Trở lại trạng thái soi kính bình thường và chuyển sang vật kính x 40 bỏ vòng triệt pha ra khỏi hệ thống tụ quang. Đóng màng chắn trường và tái hội tụ bằng cách điều chỉnh tụ quang phù hợp;
Định tâm lại và mở lại nếu cần để chiếu sáng toàn bộ trường nhìn.
j) Lặp lại các bước f) và h) sau khi lồng vòng triệt pha phù hợp vào vật kính x 40;
k) Trở lại trạng thái soi bình thường.
(Tham khảo)

(tham khảo)
[ 1 ] Anon., Proceedings of the 3rd Colloquium on Dust Measurement Technique and Strategy, Cannes (France), June 10-12, 1980; Assoc. Francaise de I'Amiante, Paris, France, (November 1980).
[ 2 ] Anon., Reference Method for Determination of Airborne Asbestos Fibre Concentrations at Workplaces by Light Microscopy RTM1, Asbestos International Association.
[ 3 ] CRAWFORD, N.P. The United Kingdom Central Reference Scheme for Aisborne Asbestos Fibre Evaluation.
[ 4 ] BURDETT, G.J., KENNY, L.C., OGDEN, T.L., ROOD, A.P., SHENTON-TAYLOR, T, TARRY, R. and VAUGHAN, N.P. Problems of Fibre Counting and its Automation, Proceedings of Occupational Health Conference 1982 on Biological Effects of Man-Made Mineral Fibre, Regional Office for Europe, World Health Organization, Copenhagen, (1982).
[ 5 ] Anon., Effects of Counting Rule Packages on the leveland Reproducibility of Asbestos Fibre Counts Canada-European Communities Metals and Minerals Working Group - Asbestos.
[ 6 ] Anon., Methods of Monitoring and Evaluating Airborne Man-made Mineral Fibres, report on a WHO Consultation, Copenhagen, 29 Aprilư 1 May, 1980; Regional Office for Europe, World Health Organization, Copenhagen, (1981).
[ 7 ] WALTON, W.H. The Nature Hazards and Assessment of Occupational Exposure to Airbone Asbestos Dust - A Review, Annals of Occupational Hygiene, Volume 25, (1982), pp 117-247.